GALLERY OF
DRAWINGS
DrawToast
Visualizing Complexity and Visualizing Toast
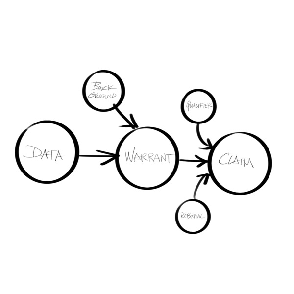
Over the past several years, I have been traveling the world running workshops that introduce people to systems thinking. These drawings, collected from many of the workshops, illustrate the diversity of approaches people use to map a system on to paper, harnessing their creativity and engaging with a new approach to understanding complexity.
The Gallery of System Models illustrates a diversity of approaches to visualizing complex systems for better clarity and understanding, without sacrificing unique and important attributes.
Gallery of Drawings of Toast
Gallery of System Models
<
>
x
<
>
x
Simple visualizations help us think about
big systems and Wicked Problem Solving ™
DrawToast is part of Tom Wujec's Wicked Problem Solving™ toolkit to
help you get playfully clear about what's important in your organization.
